| KÁRMENTESÍTÉSI KÉZIKÖNYV 1 |
 |
 |
 |
 |
 |
 |
1. melléklet - A transzportfolyamatok differenciálegyenletei
|
 |
 |
 |
 |
 |
Vízmozgás
A vízmozgásra felírható anyagmegmaradási egyenlet:

|
(1) |
a bal oldal: a
tározott vízmennyiségben bekövetkezett változás,
ahol
s: telítettség
(a telített zónában s=1) [ -]
s0: tározási tényező
[ -]
hp: piezometrikus pórusnyomás (telítetlen
állapot esetén negatív) [ L]
t: idő [ T]
: a telítettség és a szívás
kapcsolatát fejezi ki (telített állapot esetén
0)
a jobb oldal
első tagja: a szomszédos térrésszel
való vízforgalom
eredője, ahol
v: felületegységre
jutó hozam (fluxus) [ L 3 /T/L 2]
a fluxus Darcy-féle összefüggése
(más néven Darcy-féle szivárgási
sebesség):
K(hp): a piezometrikus pórus nyomástól
függő szivárgási tényező tenzora
( a telített zónában a nyomástól
való függés elhanyagolható) [ L/T]
h: (= hp+z), a piezometrikus potenciál,
ahol z-vel a pont
viszonyítósík feletti magasságát
jelöltük [ L]
a jobb oldal második tagja:
a kívülről
bejuttatott vízmennyiség (forrás), vagy a kívülre
távozó vízmennyiség (nyelő)
q: térfogategységre
jutó hozam [ L 3 /T/L 3]
n: hézagtérfogat
Vízben nem oldódó
folyadék és a levegő mozgása
Együttes figyelembe vételük
esetén az (1) egyenlet kiegészül két újabb
egyenlettel: (a nyomásváltozásból származó
térfogatváltozást figyelmen kívül hagyva):
a vízben nem oldódó
fázisra:

|
(3) |
a légnemű
fázisra:

|
(4) |
a fázisok közötti megoszlásra
felírható:
A (3), (4) egyenletek
jellege egyébként nagyon hasonló a vízmozgás
(1) egyenletére, sőt a paraméterek jelentése is analóg:
sn: a vízben nem oldódó anyag telítettsége
[ -]
sl: a légnemű
fázis aránya a porozitáson
belül [ -]
pnp: a vízben nem oldódó anyag pórusnyomása
[ M/(T 2 L)]
plp: a légnemű fázis pórusnyomása
[ M/(T 2 L)]
vn: a vízben nem oldódó anyag felületegységre
jutó hozama (fluxus) [ L 3 /T/L 2]
vl: a légnemű fázis felületegységre
jutó hozama (fluxus) [ L 3 /T/L 2]
Ebben az esetben is érvényesnek
tekintve a lamináris mozgásra vonatkozó Darcy-feltételezést:
vn = - Kn (pnp) grad (hn) és |
(6) |
vl = - Kl (plp) grad (hl) |
(7) |
Kn: a nem vizes fázis szivárgási
tényezőjének tenzora [ L/T] (függ a nem vizes fázis pórusnyomásától)
Kl: a levegő “áramlási
tényezőjének” tenzora [ L/T] (függ a levegő pórusnyomásától)
hn: a nem vizes fázis piezometrikus nyomása [
L]
|
gravitációs
gyorsulás [ L/T 2] |
|
a víz sűrűsége [ M/L 3]
|
|
a vízben nem oldódó anyag sűrűsége
[ M/L 3] |
|
a levegő sűrűsége [ M/L 3]
|
|
a nem vizes fázisra vonatkozó térfogategységre
jutó hozam, amely a kívülről érkező vagy
kifelé távozó mennyiségen kívül
tartalmazza a fázisváltozások során
keletkezett mennyiséget is [ L 3 /T/ L 3] |
|
a levegőre vonatkozó térfogategységre
jutó hozam, amely a kívülről érkező vagy
kifelé távozó mennyiségen kívül
tartalmazza a fázisváltozások során
keletkezett mennyiséget is [ L 3 /T/ L 3] |
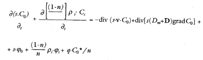
Szennyezőanyag transzport
a vízben szorpció figyelembevételével
 
|
(10) |
a bal oldal
első tagja: az oldott
formában lévő szennyezőanyag megváltozása,
ahol (az előzőekben megadottakon kívül)
Co: az oldott anyag koncentrációja
[ M/ L 3]
a bal oldal második tagja:
a szilárd vázon
kötött formában lévő, (adszorbeált) szennyezőanyag
megváltozása, ahol
r s: a szilárd víz sűrűsége
[ M/ L 3]
Cs: az adszorbeált anyag koncentrációja
[ M/ M]
a jobb oldal
első tagja: a szomszédos
térrésszel történő oldott szennyezőanyag csere (advektív transzport)
a jobb oldal második tagja:
a diffúzió
és diszperzió hatására a szomszédos
térrésszel történő anyagcsere, ahol
Dm: a molekuláris diffúziós együttható
[ M/ L 2 /T]
D: diszperziós tényező tenzora [ M/ L 2 /T]
a jobb oldal harmadik tagja: az oldott formában lévő
anyag keletkezése (forrás) vagy lebomlása (nyelő):
j o: az oldott anyagforrás v. nyelő
értéke [ M/T/L 3]
j o= g o,1Co + g o,0 |
(11) |
g o,1:a koncentrációtól
függő (ún. elsőrendű folyamat) forrás/nyelő együtthatója [ 1/T]
g o,0: a
koncentrációtól független (ún. nulladrendű
folyamat) együtthatója a víz egységnyi térfogatára
vonatkoztatva [ M/L 3 /T]
a jobb oldal negyedik tagja: az adszorbeált formában
lévő anyag keletkezése (forrás) vagy lebomlása
(nyelő):
j s = g s,1 Cs + g s,0 |
(12) |
g s,1:az adszorbeált anyag koncentrációjától
függő (ún. elsőrendű folyamat) forrás/nyelő együtthatója
[ l/T]
g s,0:az adszorbeált anyag koncentrációjától
független (ún.
nulladrendű folyamat) együtthatója a szilárd rész
egységnyi térfogatára vonatkoztatva [ M/M/T]
a jobb oldal ötödik tagja:
a külső vízforgalommal
együtt érkező vagy távozó anyagáram:
Co*: |
= |
Co, |
ha távozó vízről van szó (q< 0) [ M/L 3] |
|
= |
Co,k |
a kívülről érkező víz koncentrációja
(q >0) [ M/L 3] |
Szennyezőanyag transzport
a nem vizes folyadékfázisban
A nem vizes folyadékfázisban
lévő szennyezőanyag transzportjának egyidejű figyelembe vétele
esetén az egyenlet bal oldala kibővül a

|
(13) |
taggal, ahol:
a jobb oldal
pedig a
- div(sn×
Cn × vn
) + div[ sn(Dmn + Dn) grad Cn]
+ sn× j n + qn × Cn * /n |
(14) |
részekkel bővül, amelyek rendre a nem vizes fázisban lévő
szennyezőanyag advekciós, diszperziós, forrás/nyelő és
külső anyagforgalmi tagjai, ahol
Dmn: a nem vizes fázisra jellemző
diffúziós tényező [ ML 2 /T]
Dn: a nem vizes fázisra jellemző
diszperziós tényező tenzora [ ML 2 /T]
j n: a nem vizes fázisban kialakuló
anyagforrás v. nyelő térfogategységre jutó
értéke [ M/T/L 3]
j n = g n,1×
Cl + g n,0 |
(15) |
g n,1: a koncentrációtól
függő (ún. elsőrendű folyamat) nem vizes folyadékfázisra
vonatkozó forrás/nyelő együtthatója [ l/T]
g n,0: a koncentrációtól
független (ún. nulladrendű folyamat) együtthatója,
a nem vizes folyadékfázis egységnyi térfogatára
vonatkoztatva [ M/L 3 /T]
Cn*: |
= |
Cn, |
ha távozó
folyadékról van szó (qn< 0) [ M/L 3] |
|
= |
Cn,k |
a kívülről érkező folyadékban
lévő koncentráció (qn >0) [ M/L 3] |
Szennyezőanyag transzport
a légnemű fázisban
A légnemű fázisban
lévő szennyezőanyag transzportjának egyidejű figyelembe vétele
esetén az egyenlet bal oldala kibővül a

|
(16) |
taggal, ahol:
a jobb oldal
pedig a
- div(sl×
Cl × vl
) + div[ sl(Dml + Dl) grad Cl]
+ sl× j l + ql × Cl * /n |
(17) |
részekkel bővül,
amelyek rendre a légnemű fázisban lévő szennyezőanyag advekciós,
diszperziós, forrás/nyelő és külső anyagforgalmi tagjai,
ahol
Dml: a légnemű fázisra jellemző
diffúziós tényező [ ML 2 /T]
Dl: a légnemű fázisra jellemző
diszperziós tényező [ ML 2 /T]
j l: a légnemű fázisban
kialakuló anyagforrás v. nyelő térfogategységre
jutó értéke [ M/T/L 3]
j l = g l,1×
Cl + g l,0 |
(18) |
g l,1: a koncentrációtól
függő (ún. elsőrendű folyamat) levegőre vonatkozó
forrás/nyelő együtthatója [ l/T]
g l,0: a koncentrációtól
független (ún. nulladrendű folyamat) együtthatója,
a légnemű fázis egységnyi térfogatára
vonatkoztatva [ M/L 3 /T]
Cl*: |
= |
Cl, |
ha távozó levegőről van szó (ql< 0) [ M/L 3] |
|
= |
Cl,k |
a kívülről érkező levegőben lévő
koncentráció (ql >0) [ M/L 3] |
A transzportegyenletben,
ha a légnemű fázist is figyelembe vesszük, akkor három
ismeretlen szerepel, az oldott koncentráció (Co),
adszorbeált formában lévő anyag koncentrációja
(Cs), a nem vizes folyadékfázisban
lévő anyag koncentrációja (Cn) és a légnemű fázisban lévő anyag koncentrációja
(Cl). Az egyenletet csak abban az esetben lehet megoldani, ha a többi
koncentrációt kifejezzük az oldott koncentráció
függvényében:
Cs = l ×
Co
|
(19) |
Cn = f ×
Co |
(20) |
Cl = c ×
Co, ahol |
(21) |
l
: az adszorbeált és oldott anyag között
ún. megoszlási hányados (nem lineáris
esetben maga is függvénye Co-nak),
f : a nem vizes fázisú folyadékban
lévő koncentráció és a vízben
oldott anyag koncentrációja közötti kapcsolat
együtthatója,
c : a légnemű és az
oldott anyag közötti megoszlási hányados
a Henry-törvény szerint.
Többkomponensű
transzport, kémiai átalakulások
Amennyiben a forrás/nyelő
tagok (j o, j s, j n, j l) által
leírt elsőrendű és nulladrendű folyamatok együtthatói
függenek más komponensek koncentrációjától,
a (10) egyenletet minden figyelembe veendő komponensre fel kell írni.
Ebben az esetben beszélünk többkomponensű, a kémiai
változásokat is figyelembe vevő transzportegyenletről. A forrás/nyelő
tagokban szereplő függvények tulajdonképpen
geokémiai, (biokémiai) átalakulási folyamatokat
fejeznek ki. Az egyes folyamatok geokémiai egyenletrendszereinek megoldásával
kapjuk meg komponensenként az átalakuló anyagmennyiségeket.
|
|